Año 2023 / Volumen 34 / Número 2

Artículos Originales

Anomalías rotacionales en mujeres con hallux valgus. Estudio observacional
Rotational anomalies in women with hallux valgus. Observational study

Rev. Esp. Pod. 2023; 34(2): 90-98 / DOI: 10.20986/revesppod.2023.1673/2023

Rosana Giménez López


RESUMEN

Objetivos: Analizar las diferencias de lateralidad en el movimiento de rotación y torsión en la extremidad inferior y su posible influencia en el desarrollo del hallux abductus valgus.
Pacientes y métodos: La muestra incluyó 129 mujeres. Se evaluó el grado de severidad del hallux abductus valgus, la rotación de cadera, la torsión tibial, la movilidad de la primera articulación metatarsofalángica, el índice postural del pie y el ángulo de progresión del pie.
Resultados: Nuestros resultados mostraron que existían diferencias en la rotación externa entre ambas caderas de 2.34° (p < 0.001) y entre la rotación interna y externa de la cadera izquierda de 4.11° (p < 0.002). También se encontró una diferencia del ángulo de progresión del pie de 3° (p < 0.001), pero no hubo diferencias significativas entre la torsión tibial y el índice postural del pie (p > 0.05). Se encontró una diferencia en el rango de movimiento entre ambas primeras articulaciones metatarsofalángicas de 6.30° (p < 0.001), y se halló una relación entre la extensión y el rango de movimiento de la primera articulación metatarsofalángica y el hallux abductus valgus (p < 0.05).
Conclusiones: En base a los resultados obtenidos en esta muestra, los datos apuntan a un mayor rango de movimiento de la primera articulación metatarsofalángica en el pie izquierdo. Los resultados también indican un probable predominio de rotación interna de la extremidad izquierda y de rotación externa de la extremidad derecha, que no mostraron asociación con el estadio del hallux abductus valgus en este estudio.



ABSTRACT

Objectives: To analyze differences in laterality in rotational and torsional movement in the lower extremity and its possible influence on the development of hallux abductus valgus.
Patients and methods: The sample included 129 women. The degree of severity of hallux abductus valgus, hip rotation, tibial torsion, mobility of the first metatarsophalangeal joint, foot posture index, and foot progression angle were evaluated.
Results: Our results showed that there were differences in external rotation between both hips of 2.34° (p < 0.001) and between internal and external rotation of the left hip of 4.11° (p < 0.002). We also found a difference of the foot progression angle between feet of 3° (p < 0.001), but there was no significant difference between tibial torsion and foot posture index (p > 0.05). A difference in range of motion was found between both first metatarsophalangeal joints of 6.30° (p < 0.001), and a relationship was found between extension and range of motion of the first metatarsophalangeal joint and hallux abductus valgus (p < 0.05).
Conclusions: Based on the results obtained in this sample, the data points to a greater range of motion of the first metatarsophalangeal joint in the left foot. The results also indicate a probable predominance of internal rotation of the left extremity and external rotation of the right extremity, which did not show asociation with the degree of hallux aductus valgus in this study.





Artículo Completo


DOI: http://dx.doi.org/10.20986/revesppod.2023.1673/2023
ORIGINAL

Anomalías rotacionales en mujeres con hallux valgus. Estudio observacional
Rotational anomalies in women with hallux valgus. Observational study

Rosana Giménez López1

1Escuela de Doctorado. Universidad Católica de Valencia “San Vicente Mártir”. Valencia, España

Resumen
Objetivos: Analizar las diferencias de lateralidad en el movimiento de rotación y torsión en la extremidad inferior y su posible influencia en el desarrollo del hallux abductus valgus.
Pacientes y métodos: La muestra incluyó 129 mujeres. Se evaluó el grado de severidad del hallux abductus valgus, la rotación de cadera, la torsión tibial, la movilidad de la primera articulación metatarsofalángica, el índice postural del pie y el ángulo de progresión del pie.
Resultados: Nuestros resultados mostraron que existían diferencias en la rotación externa entre ambas caderas de 2.34° (p < 0.001) y entre la rotación interna y externa de la cadera izquierda de 4.11° (p < 0.002). También se encontró una diferencia del ángulo de progresión del pie de 3° (p < 0.001), pero no hubo diferencias significativas entre la torsión tibial y el índice postural del pie (p > 0.05). Se encontró una diferencia en el rango de movimiento entre ambas primeras articulaciones metatarsofalángicas de 6.30° (p < 0.001), y se halló una relación entre la extensión y el rango de movimiento de la primera articulación metatarsofalángica y el hallux abductus valgus (p < 0.05).
Conclusiones: En base a los resultados obtenidos en esta muestra, los datos apuntan a un mayor rango de movimiento de la primera articulación metatarsofalángica en el pie izquierdo. Los resultados también indican un probable predominio de rotación interna de la extremidad izquierda y de rotación externa de la extremidad derecha, que no mostraron asociación con el estadio del hallux abductus valgus en este estudio.

Palabras clave: Primera articulación metatarsofalángica, hallux valgus, extremidades inferiores, torsión, rotación.

Abstract
Objectives:
To analyze differences in laterality in rotational and torsional movement in the lower extremity and its possible influence on the development of hallux abductus valgus.
Patients and methods: The sample included 129 women. The degree of severity of hallux abductus valgus, hip rotation, tibial torsion, mobility of the first metatarsophalangeal joint, foot posture index, and foot progression angle were evaluated.
Results: Our results showed that there were differences in external rotation between both hips of 2.34° (p < 0.001) and between internal and external rotation of the left hip of 4.11° (p < 0.002). We also found a difference of the foot progression angle between feet of 3° (p < 0.001), but there was no significant difference between tibial torsion and foot posture index (p > 0.05). A difference in range of motion was found between both first metatarsophalangeal joints of 6.30° (p < 0.001), and a relationship was found between extension and range of motion of the first metatarsophalangeal joint and hallux abductus valgus (p < 0.05).
Conclusions: Based on the results obtained in this sample, the data points to a greater range of motion of the first metatarsophalangeal joint in the left foot. The results also indicate a probable predominance of internal rotation of the left extremity and external rotation of the right extremity, which did not show asociation with the degree of hallux aductus valgus in this study.

Keywords: First metatarsophalangeal joint, hallux valgus, lower extremity, torsion, rotation.

Recibido: 30-07-2023
Aceptado: 23-11-2023

Correspondencia: Rosana Giménez López
rosana.gimenez@mail.ucv.es

Introducción

El hallux abductus valgus (HV) es la deformidad tridimensional progresiva más frecuente del antepié. Consiste en una desalineación y medialización del primer metatarsiano con la formación de una prominencia ósea medial, así como una lateralización del primer dedo, con o sin pronación. El desarrollo de la deformidad implica el desequilibrio de los tejidos blandos del mediopié y el antepié. Sus causas son intrínsecas y extrínsecas, y la deformidad puede causar dolor y disminución de la movilidad, entre otras alteraciones (1,2,3,4).
Las asimetrías rotacionales y torsionales de las extremidades inferiores se han observado constantemente en la literatura científica. Estas asimetrías pueden generar desviaciones compensatorias durante la marcha y favorecer patologías en las extremidades inferiores (EEII), como la artrosis (5,6). La anteversión femoral y la torsión tibial (TT) son las asimetrías más frecuentemente descritas. La TT externa en la extremidad inferior derecha (EID) se describe en la literatura con un aumento de entre 1 y 5° con respecto a la extremidad inferior izquierda (EII) (7,8,9). El aumento de la anteversión femoral interna en la EII también está ampliamente descrito por diversos autores (8,9,10,11,12), cuyo valor se encuentra aumentado entre 1 y 7° con respecto a la EID. Recientemente, Ries y cols.(13) informaron de una anteversión femoral izquierda de 2.2° superior a la derecha, una TT externa derecha aumentada en 2.8°, y un total de 5.1° más de rotación externa en EID, con una diferencia absoluta de rotación de 9.5° entre ambas extremidades. También se ha observado la influencia de la TT en el ángulo de progresión del pie (12,14).
Numerosos estudios, como los de Jeon y cols.(15), Sass y Hassan(16) y Requeiro y cols. (17), informan que la asimetría rotacional encontrada durante la infancia y posteriormente en la edad adulta tiene su origen en el desarrollo embrionario a partir de la adopción de una posición fetal específica durante la gestación, factores hereditarios o la adopción de posiciones defectuosas después del nacimiento; sin embargo, este último factor puede deberse a la posición adoptada durante la gestación y no ser un factor predisponente en sí mismo, según Rodríguez y cols. (18). Staheli (19) señala específicamente que la torsión interna y el metatarso aducto estarían condicionados por la posición fetal intrauterina. Las extremidades inferiores empiezan a rotar internamente a partir de la séptima semana de gestación para adaptarse al espacio uterino. En la actualidad, no parece estar claro el mecanismo que condiciona la posición de las extremidades inferiores para adaptarse entre sí en el espacio uterino y adquirir una posición específica a lo largo del periodo gestacional. Los estudios en vertebrados apuntan al papel de los genes Hox, que dirigen el plano anteroposterior según principios de colinealidad espacial y temporal y que también se encuentran en mamíferos (20,21). Este proceso adaptativo de las EEII puede condicionar la asimetría torsional y rotacional de las extremidades tras el nacimiento, conduciendo a una incapacidad de normalización rotacional y torsional durante el desarrollo del individuo, favoreciendo en última instancia una determinada asimetría en la edad adulta. A nivel podológico, se han observado más estudios que identifican las diferencias de género y lateralidad, pero aún son escasos. Aunque en trabajos anteriores se ha estudiado la influencia de las torsiones y rotaciones en el pie, aún no se ha estudiado cómo estas diferencias rotacionales de lateralidad pueden influir en la aparición y el desarrollo del HV.
El presente estudio realizó una comparación de los estadios de gravedad del HV y analizó el rango de rotación de la articulación de la cadera, la TT, la primera articulación metatarsofalángica (1.ª MTF), el índice postural del pie (FPI) y el ángulo de progresión del pie (APP) de forma individual y conjunta en pacientes con HV. El objetivo fue identificar las diferencias de lateralidad en las extremidades inferiores y su posible relación con el estadio de gravedad del HV.

Pacientes y métodos

Participantes

Para este estudio se realizó un muestreo previo no probabilístico y consecutivo en una clínica podológica desde enero de 2021 hasta febrero de 2022. Los sujetos fueron pacientes que acudieron por diversos motivos y presentaban HV, independientemente de su estadio. En primer lugar, no se realizó un triaje por género para determinar la prevalencia de hombres y mujeres con HV. Del total de 144 participantes, 129 fueron mujeres (89.58 %) y 15 (10.42 %) fueron hombres. Dada la disparidad resultante entre ambos sexos, se analizó la muestra de participantes con mayor número de casos de HV para evitar posibles sesgos en las variables de la amplitud de movimiento articular. La muestra estaba constituida por un total de 129 mujeres con una edad media de 51 ± 11 años y un IMC de 25.10 ± 4.68. En este estudio no se tuvo en cuenta la predisposición de los sujetos a utilizar la extremidad derecha o izquierda, aunque aproximadamente el 95 % eran diestras, lo que se determinó preguntando con qué pie chutarían un balón.
Los criterios de inclusión fueron mujeres que tenían entre 20 y 70 años y presentaban HV, independientemente del nivel de la deformidad. Se obtuvo el consentimiento informado por escrito de todas las participantes antes del examen clínico. Los criterios de exclusión fueron pacientes con antecedentes de patología musculoesquelética, cirugía o tratamiento ortopédico previo. Además, se excluyeron del estudio los pacientes con hallux limitus (extensión inferior a 65°) (22) y los pacientes con infra o supraducción del primer o segundo dedo del pie.

Protocolo de Estudio

Se realizó un estudio transversal, observacional y analítico. El ­cálculo de la muestra se realizó para estimar la proporción de pacientes con HV que presentan diferencias rotacionales en las EEII. Se necesitó una muestra de 93 pacientes para estimar esta proporción para un nivel de confianza del 95 % y una precisión de ± 10 unidades porcentuales, con una predicción de que esta proporción se situaría en torno al 60 %.
La rotación pasiva interna y externa de la cadera se midió en decúbito prono con una genuflexión de 90° mediante un inclinómetro analógico colocado en el margen tibial (23). Se indicó al paciente que no elevara la cadera opuesta durante la rotación de la cadera ni durante el movimiento de relajación de la pierna hacia ambos lados. La TT se evaluó mediante un goniómetro universal de dos ramas; una de las ramas se colocó en la planta del pie, trazando la bisectriz desde el centro del talón hasta el segundo radio, y la otra rama se dirigió al centro sagital del muslo, manteniendo la posición de la articulación subastragalina neutra(24). En la 1.ª MTPJ, la flexión y extensión pasivas se valoraron colocando el goniómetro en la cara interna del pie, con una rama del goniómetro siguiendo la bisectriz previamente trazada del primer radio y la falange proximal, tras lo cual se forzó el movimiento correspondiente hasta su tope articular(25) (Figura 1).


Figura 1. Medición de la primera articulación metatarsofalángica mediante goniómetro.

Para obtener el valor medio, las mediciones se realizaron en tres ocasiones consecutivas, alternando ambos pies. Todas las mediciones fueron realizadas por un único examinador con 20 años de experiencia clínica como podólogo. El estadio de la HV se evaluó mediante fotografías y la Escala Visual de Manchester(26). Esta escala consiste en fotografías estandarizadas de pies con cuatro grados de HV (ninguno [A], leve [B], moderado [C] y grave [D]). El APP se evaluó utilizando la plataforma de presión T-Plate® (Medicapteurs, Francia) con 1600 sensores resistivos de 10 × 10 mm, con una superficie activa de 400 × 400 mm(27), registrando una media de cinco pasos para cada pie a la cadencia individual y natural de cada paciente. Posteriormente, se utilizó el programa de medición de ángulos, Ruler® (diseñado por Ergonautas, Universidad Politécnica de Valencia), para medir el ángulo de progresión de cada pie. Se evaluó el FPI-6, compuesto por seis ítems para clasificar la posición de los pies: palpación de la cabeza del astrágalo, observación de la curvatura supramaleolar/inframaleolar, inversión/eversión del calcáneo, prominencia medial de la articulación talonavicular, altura del arco medial y abducción/aducción de los dedos vista desde el retropié. La puntuación oscila entre -12 y +12. Los estándares de referencia son: normal, de 0 a +5; pronado, de +6 a +9; muy pronado, de +10 a +12; supinado, de -1 a -4; muy supinado, de -5 a -1228.

Análisis estadístico

El estudio se realizó utilizando el software estadístico R, versión 4.2.0. En primer lugar, se realizó un análisis descriptivo de las variables cuantitativas mediante mínimo, máximo, media, mediana y desviación estándar, y de las variables categóricas mediante frecuencias absolutas y relativas. La evaluación de la lateralidad de la rotación de la cadera, TT, movilidad de la 1.ª MTPJ, FPI y APP se realizó mediante la prueba t Student de muestras emparejadas o la prueba de rangos de Wilcoxon en caso de incumplimiento de normalidad. Para observar posibles relaciones estadísticamente significativas en cada par de variables cuantitativas, rotación de la cadera, TT y movilidad del 1.er MTPJ, FPI y APP, se ajustaron modelos de regresión lineal mediante el coeficiente de correlación de Pearson. Para estudiar la relación entre los grados de Manchester (B, C, D), la rotación de la cadera, el TT, la movilidad del 1.ª AMTF y el APP, se ajustaron modelos de regresión logística multinomial.

Resultados

La asimetría entre la rotación interna y externa en las EEII fue estadísticamente significativa. El valor estimado para la diferencia media entre ambas rotaciones fue de 4.11° (intervalo de confianza del 95 %: 1.47-6.74). Los datos descriptivos indican que el movimiento interno en la cadera izquierda fue mayor (p = 0.002). Se encontraron diferencias significativas entre el lado derecho y el izquierdo para la variable rotación externa, con una diferencia media estimada de 2.34 unidades (intervalo de confianza del 95 %: 1.07-3.61; p < 0.001). También hubo diferencias en el ROM de cadera, con una diferencia media de 2.12 unidades (intervalo de confianza del 95 %: 0.54-3.70; p < 0.008) (Figura 2). Respecto a la torsión tibial no se encontraron diferencias estadísticamente significativas en la TT entre ambas EEII con 0.75° (intervalo de confianza del 95 %: -0.002-1.50, p = 0.05).

Figura 2. Diferencia del rango de movilidad de cadera (CROM) por cada lado.

Los resultados no muestran evidencia de que la variable FPI difiera en los lados derecho 2.44 ± 3.41 e izquierdo 2.51 ± 3.44. El valor medio estimado fue de -0.024 (-0.408 y 0.359), con p > 0.05. En la
Tabla 1 se describen los estadísticos resumidos de las variables.

Tabla I. Estadísticos resumen de las variables medidas en el estudio.


D: derecho. I: izquierdo. 1ª AMTF: primera articulación metatarsofalángica. APP: ángulo de progresión del pie. FPI: foot posture índex (índice postura del pie). ROT INT: rotación interna. ROT EXT: rotación externa. ROM: rango de movimiento.

La diferencia entre el ángulo de progresión del pie derecho y el izquierdo fue de 3.º (intervalo de confianza del 95 %: 2.20-3.90, p < 0.001) (Figura 3).


Figura 3. Diferencia de lado del ángulo de progresión del pie (Foot posture angle: FPA) por lado. D: derecho. I: izquierdo.

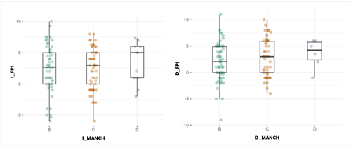
En cuanto a la movilidad de la 1.ª MTPJ, la diferencia encontrada en flexión fue de 1.50° (intervalo de confianza del 95 %: 0.33-3.33, p < 0.016), en extensión fue de 4.66° (intervalo de confianza del 95 %: 3.16-6.15, p < 0.001), y el ROM fue de 6.30° (intervalo de confianza del 95 %: 4.44-8.15, p < 0.001), además, todos los valores fueron superiores en la 1.ª MTF izquierda (Tabla 2). La presencia de HV en la muestra de 129 sujetos se observó bilateralmente en 123 casos (95.34 %) y unilateralmente en 6 casos (4.65 %); con 1 (0.77 %) en el pie derecho y 5 (3.87 %) en el pie izquierdo. En el nivel de gravedad del HV, el estadio B fue mayor en 8 casos (8.06 %) en los pies derechos, según la escala de Manchester(26). Además, los pies izquierdos presentaron un aumento de 7 casos (4.85 %) más de HV en el estadio C, y 5 casos (3.82 %) más en el estadio D, pero no se observaron diferencias estadísticamente significativas entre ambos pies (Odds Ratio (OR) B: 0.86, p = 0.420; OR C: 1.33, p = 0.266; y OR D: 2.11, p = 0.163). Tanto para el estadio de Manchester en el pie izquierdo como en el derecho, no se encontró ningún efecto significativo con la rotación de la cadera, TT (Figura 4), FPI (Figura 5) o APP (Figura 6) (p > 0.05). En la Tabla 2 se describen los valores de las variables según el grado de severidad del HV .


Figura 4. Grados de torsión tibial (TT) en cada lado por estadio de hallux valgus (Manch).


Figura 5. Grados del FPI en cada lado por estadio de hallux valgus (Manch).


Figura 6. Grados del ángulo de progresión del pie (FPA) por estadio de hallux valgus (Manch).

En cuanto a la movilidad de la 1.ª AMTF, se encontró un efecto significativo para el grado de Manchester en extensión en ambos pies y el rango de movimiento en el pie izquierdo (Tabla 2). Cada aumento de un grado de extensión reduce la probabilidad de tener una HV tipo C respecto a la B en un 3.6 % en el pie derecho. En el pie izquierdo, se reduce la probabilidad de tener una HV de tipo D con respecto a B en un 5.8 %. Cada aumento de un grado en ROM reduce la probabilidad de tener un HV tipo D con respecto a B en un 4.6 % en el pie izquierdo.

Tabla II. Valores promedio según estadio de Manchester.



D: derecho. I: izquierdo. HV: hallux valgus. 1.ª AMTF: primera articulación metatarsofalángica. APP: ángulo de progresión del pie. FPI: foot posture índex (índice postura del pie). ROT INT: rotación interna. ROT EXT: rotación externa. ROM: rango de movimiento.

Discusión

Hasta ahora no se habían analizado las asimetrías rotacionales y torsionales en las EEII y su posible impacto en el desarrollo del HV. Los resultados de este estudio revelan la posible existencia de un patrón rotacional interno izquierdo en la EII y un patrón rotacional externo derecho en EID, tal y como se ha observado en estudios previos como el de Ries(13) y Lafuente y cols. (29).
En cuanto a los porcentajes de afectación, el estudio de Mathon (9), en el que se utilizaron dos métodos de medición diferentes, reveló una diferencia de TT de 3° en el 12 % de la muestra con el primer método, y de 4.9° en el 9 % de los participantes con un segundo método. Shultz y Nguyen(30) también informaron de una diferencia en la TT que superaba el error de medición en más del 32 % de los participantes. En cuanto a la anteversión femoral, Mathon y cols. (9) hallaron una diferencia lateral absoluta de 6.3° en el 47 % de los participantes, y Shultz y cols. (31) hallaron una diferencia entre el 5 % y el 32 % de los casos. El análisis de los datos revela que ni la asimetría rotacional de la cadera ni la TT están relacionados con el estadio de gravedad del HV en ningún pie, aunque existe una tendencia a que los valores disminuyan en la pierna izquierda y aumenten en la derecha a medida que aumenta el estadio de gravedad del HV. A pesar de ello, esta asimetría en EEII puede influir en el pie durante la marcha, como se muestra en el resultado del APP.
En este estudio, las mediciones en las EEII se tomaron segmentariamente en lugar de globalmente para identificar el origen de una anomalía rotacional en el conjunto de la extremidad inferior. Singh (32) y Hawi (24) sostienen que el ángulo muslo-pie proporciona una alternativa fiable a la tomografía computarizada para medir la TT. Los resultados de este estudio no se desvían de la media de 15° del ángulo muslo-pie en personas sin patología (33), aunque este valor puede ampliarse a 19°(34).  Una diferencia inferior a 3° no se considera significativa en términos clínicos(35), aunque en la literatura científica, se observa que incluso con valores inferiores, la TT está aumentada en la EID en comparación con la EII.
Respecto a otros estudios, los valores de rotación de cadera no difieren de los valores medios referenciados en sujetos sanos (36), demostrando un predominio de la rotación interna frente a la externa, en contraste con los datos referenciados por la American Academy of Orthopedic Surgeons (37). En este sentido, otros autores como Shultz y Nguyen (30) informaron que las mujeres presentaban una mayor rotación interna de las caderas y genu valgo en comparación con los hombres. En la misma línea, los estudios de Hudson (14) y Cannon y cols. (38) informaron de un predominio de la rotación interna de la cadera frente a la rotación externa asociada a la torsión femoral interna en un mayor porcentaje de mujeres. En este estudio, se observa que el aumento de la rotación externa en la cadera derecha se asocia a una TT externa en el doble de casos que a una TT interna y, por el contrario, en la cadera izquierda, la rotación interna se asocia normalmente a una TT interna.
Un componente de rotación y torsión interna en la EI favorecerá una mayor pronación del pie. Además, esta circunstancia favorece la elongación de los ligamentos mediales a nivel de la 1.ª AMTF y el deslizamiento medial de la cabeza del primer metatarsiano, acentuando el desequilibrio de las fuerzas de reacción articular39. Esta puede ser la razón por la que encontramos un mayor ROM pasivo de la 1.ª AMTF izquierda, que puede estar relacionado con el mayor número de casos severos de HV encontrados en el pie izquierdo en un 9 %. Estos datos no coinciden con el reciente estudio de Crooks y cols.40, que evaluó la diferencia entre lados en los casos de HV, mostrando solo un 2 % más de casos graves en el pie izquierdo. El presente estudio, a diferencia de el de Crooks, incluyó casos unilaterales en la muestra y utilizó una metodología diferente.
Asimismo, los valores de movilidad de esta articulación sin carga de peso se observan aumentados respecto a otros estudios realizados con la misma metodología (41). Una de las causas de este aumento de la movilidad articular podría ser la composición de la muestra, representada únicamente por mujeres, cuya laxitud ligamentosa suele encontrarse en mayor proporción (3:1) con respecto a los hombres (42). El valor medio del FPI observado por Sánchez y cols. (28) fue de 1.6 en los hombres y de 2.4 en las mujeres, similar a los resultados de este estudio, y estos se relacionaron con pies más supinados en los hombres y más valgos o neutros en las mujeres. Por su parte, Carvalho y cols.(43) observaron que los participantes en su estudio tenían una postura más pronada del pie izquierdo que del derecho. En este estudio, sin embargo, el resultado del FPI corresponde a pies normales y no evidencia el carácter pronador en el pie izquierdo, supuestamente favorecido por la rotación interna observada en la EII.  Encontramos que los valores de posición del calcáneo en el plano frontal dentro del FPI fueron más altos en el pie izquierdo y más bajos en el pie derecho con respecto a la media. Además, a pesar de no haber diferencias bilaterales significativas entre los ángulos del retropié, Livingston(44) remarcó que los valores medios no siempre reflejaban la variación real de los datos dentro de la muestra. Se observó que en el 56 % de los participantes había una diferencia mínima de 4° en el ángulo bilateral del retropié y que superaba los 7° en el 20 % de la muestra; sin embargo, Nguyen y Shultz(45) no observaron diferencias entre lados o sexos en este criterio.
Paralelamente, al excluir los pies con hallux limitus en este estudio, se observó un mayor número de pies derechos con hallux limitus en 5:2 con respecto a los izquierdos. Aunque se trata de un número bajo, planteamos la hipótesis de la influencia del aumento de la TT externa y/o de la rotación externa de la cadera como factor predisponente de la supinación del pie. Esta supinación llevaría a la elevación del primer metatarsiano del suelo, o lo que es lo mismo, a un metatarsus primus elevatus, favoreciendo así un hallux limitus. Esta nueva hipótesis estaría apoyada por las investigaciones de Ciufo(46), quien observó una correlación estadísticamente significativa entre la TT externa, la morfología del astrágalo y la inclinación tibiotalar. En referencia a esta alteración y con otra visión, Lafuente y cols.(47) identificaron el hallux limitus como causa de una menor rotación interna de las EEII. Sin embargo, la causa-efecto de esta otra deformidad no está clara. También encontramos otras referencias a la asimetría, como la de Zhao(48), quien observó más altura en el pie derecho con respecto al izquierdo, lo que podría explicarse por una posición mayormente supinada del pie derecho, o una posición pronada del pie izquierdo.
A lo largo del crecimiento del individuo, el ángulo de progresión del pie se mantiene ligeramente positivo, con valores entre 6° y 10°, debido a la pérdida progresiva de la rotación interna de la cadera (7). El APP medio en este estudio disminuyó levemente en el pie izquierdo. Esta disminución puede deberse a una mayor anteversión femoral, como indican Alexander (5) y Bruderer y cols. (6), aunque según la valoración de Hudson (14), la TT sería el componente que más influiría en la dirección y magnitud del APP, como mostró el 68 % de los sujetos de su estudio. En cuanto a los resultados de este análisis, se encontró una diferencia de 3° en el ángulo de progresión entre ambos pies coincidiendo con la suma de las asimetrías rotacionales de la EID en descarga, muy similar a datos obtenidos de otros estudios realizados con niños (49,50), por lo que se puede suponer que esta asimetría persiste en la edad adulta. En la mayoría de los artículos consultados se comprobó que los participantes no presentaban patología, lo que indica que estas asimetrías pueden influir en la aparición y desarrollo de HV, dependiendo de otros factores morfológicos predisponentes en el individuo. Este estudio sugiere que la biomecánica del cuerpo humano no siempre es capaz de lograr la simetría rotacional de las extremidades durante su desarrollo. Los datos de este estudio indican un predominio de la rotación interna izquierda y externa derecha en la edad adulta debido a la posición fetal y/o a factores hereditarios.
Los factores hereditarios son aún un estudio pendiente, y la posición fetal que daría lugar a esta asimetría tendría su origen en la colocación de la extremidad inferior derecha sobre la izquierda durante la gestación, favoreciendo una mayor rotación interna de la EII y una mayor rotación externa derecha de la EID, como ­señalan varios autores como Sthaeli (19), Fabry (10), Radler (12), Sass y Hassan (16) y Rodríguez (18) (Figura 7). En esta línea, Katz (51) observó que los niños prematuros presentaban un mayor patrón de rotación externa en sus extremidades inferiores, y un menor número de metatarsos en aducción. Furdon y Donlon (52) destacan que el pie es maleable, por lo que es susceptible de compresión y deformación debido a la posición intrauterina. Los autores también señalan la importancia de distinguir entre una deformidad posicional temporal y una malformación estructural del pie, lo que supone un reto. Esta afirmación también podría extrapolarse a la extremidad inferior en su conjunto.


Figura 7. Dibujo “el feto en el útero” de Leonardo Da Vinci. Fuente: Wikipedia.

A falta de mejores prestaciones y accesibilidad de sistemas de diagnóstico por imagen, como la tomografía computarizada, se pueden encontrar grandes similitudes entre estas sofisticadas técnicas con las utilizadas en una clínica podológica a través de herramientas rudimentarias; por ejemplo, un goniómetro universal, lo que facilita la posible reproducibilidad de este estudio en cualquier ámbito. Este estudio presenta limitaciones debido a los criterios de exclusión, lo que ha provocado una posible disminución de la información registrada sobre variables como la gravedad de la HV. Además, no fue posible acceder a una muestra de control debido a la situación de pandemia de COVID-19 durante la recogida de datos. No obstante, encontramos las mismas asimetrías rotacionales en las EEII que en las muestras sin patología según la bibliografía consultada. Es importante destacar que la movilidad de las articulaciones se evalúa en descarga, por lo que estos datos deben contrastarse con el comportamiento global y en dinámica de las EEII.
En conclusión, los resultados del presente estudio no han mostrado diferencias significativas entre el HV derecho e izquierdo, aunque sí una diferencia significativa en el ROM de la 1.ª AMTF, siendo mayor en el pie izquierdo. Hubo diferencias entre las rotaciones de ambas caderas, pero no se observaron diferencias en la TT. Nuestro estudio apunta a la posible existencia de un patrón frecuente de rotación interna en la EII y externa en la EID a tener en cuenta en el diagnóstico y tratamiento precoz del individuo. La posición fetal podría ser el factor predisponente común de un patrón de rotación de las EEII en un alto porcentaje de la población, cuyo origen podría deberse a un “Patrón posicional gestacional de los miembros inferiores”. Estas asimetrías rotacionales de las EEII podrían condicionar la estructura y función del sistema musculoesquelético, del pie y de la 1.ª AMTF. Futuras investigaciones biomecánicas y de otro tipo serán pertinentes para corroborar estos resultados.

Agradecimientos

A mi tutor, D. Carlos Barrios Pitarque, por su ayuda en todas las fases de este estudio. A Carlos Peña y Juan Antonio Carbonell de INCLIVA por su constante asesoramiento, y al Comité Científico de la Revista Española de Podología por evaluar este estudio para su publicación como artículo científico.

Declaración Ética

El estudio se realizó de acuerdo con los principio sde la Declaración de Helsinki y fue aprobado por el Comité de Ética de la Investigación de la Universidad Católica de Valencia San Vicente Mártir (CEI) el 21 de enero de 2021. Código de proyecto: UCV/2020-2021/052.

Conflictos de intereses

El autor declara no poseer ningún conflicto de intereses económico o comercial con la ralización del presente estudio.

Financiación

No presenta.

Bibliografía

  1. Zirngibl B, Grifka J, Baier C, Götz J. Hallux valgus: Ätiologie, diagnostische und therapeutische Prinzipien. Orthopade. 2017;46(3):283-96. DOI: 10.1007/s00132-017-3397-3.
  2. Shi GG, Whalen JL, Turner NS 3rd, Kitaoka HB. Operative approach to adult hallux valgus deformity: Principles and techniques. J Am Acad Orthop Surg. 2020;28(10):410-18. DOI: 10.5435/JAAOS-D-19-00324.
  3. de Cesar Netto C, Richter M. Use of advanced weightbearing imaging in evaluation of hallux valgus. Foot Ankle Clin. 2020;25(1):31-45. DOI: 10.1016/j.fcl.2019.10.001.
  4. Ray JJ, Friedmann AJ, Hanselman AE, Vaida J, Dayton PD, Hatch DJ, et al. Hallux valgus. Foot Ankle Orthop. 2019;4(2):2473011419838500. DOI: 10.1177/2473011419838500.
  5. Alexander N, Wegener R, Lengnick H, Payne E, Klima H, Cip J, et al. Compensatory gait deviations in patients with increased outward tibial torsion pre and post tibial derotation osteotomy. Gait Posture. 2020;77:43-51. DOI: 10.1016/j.gaitpost.2020.01.011.
  6. Bruderer-Hofstetter M, Fenner V, Payne E, Zdenek K, Klima H, Wegener R. Gait deviations and compensations in pediatric patients with increased femoral torsion. J Orthop Res. 2015;33(2):155-62. DOI: 10.1002/jor.22746.
  7. Gruskay JA, Fragomen AT, Rozbruch SR. Idiopathic rotational abnormalities of the lower extremities in children and adults. JBJS Rev. 2019;7(1):e3. DOI: 10.2106/JBJS.RVW.18.00016.
  8. Eckhoff DG, Jacofsky DJ, Springer BD, Dunbar M, Cherian JJ, Elmallah RK, et al. Bilateral symmetrical comparison of femoral and tibial anatomic features. J Arthroplasty. 2016;31(5):1083-90. DOI: 10.1016/j.arth.2015.11.021.
  9. Mathon P, Micicoi G, Seil R, Kacaoglu B, Cerciello S, Ahmad F, et al. Healthy middle-aged Asian and Caucasian populations present with large intra- and inter-individual variations of lower limb torsion. Knee Surg Sports Traumatol Arthrosc. 2021;29(4):1083-89. DOI: 10.1007/s00167-020-06096-0.
  10. Fabry G, Cheng LX, Molenaers G. Normal and abnormal torsional development in children. Clin Orthop Relat Res. 1994;(302):22-6. DOI: 10.1097/00003086-199405000-00005.
  11. Bleck EE. Developmental orthopaedics. III: Toddlers. Dev Med Child Neurol. 1982;24(4):533-55.
  12. Radler C, Kranzl A, Manner HM, Höglinger M, Ganger R, Grill F. Torsional profile versus gait analysis: consistency between the anatomic torsion and the resulting gait pattern in patients with rotational malalignment of the lower extremity. Gait Posture. 2010;32(3):405-10. DOI: 10.1016/j.gaitpost.2010.06.019.
  13. Ries C, Boese CK, Ott N, Doerner J, Müller LP, Hackl M. Intra-individual variance of bilateral femoro-tibial leg rotation: a CT study of 105 healthy subjects. Knee Surg Sports Traumatol Arthrosc. 2021;29(4):1106-13. DOI: 10.1007/s00167-020-06101-6.
  14. Hudson D. A comparison of ultrasound to goniometric and inclinometer measurements of torsion in the tibia and femur. Gait Posture. 2008;28(4):708-10. DOI: 10.1016/j.gaitpost.2008.04.017.
  15. Jeon JH, Yoon YS, Lee KJ, Yu KP, Lee JH, Seog TY, et al. A new instrument for measuring tibial torsion in pediatric patients. Ann Rehabil Med. 2017;41(3):441-49. DOI: 10.5535/arm.2017.41.3.441.
  16. Sass P, Hassan G. Lower extremity abnormalities in children. Am Fam Physician. 2003;68(3):461-68.
  17. Requeiro Molina JJ, Izaquirre Martínez Y, Machado Consuegra A, Requeiro Molina GM, Morejón Fernández JM, Rodríguez Medina O. Influencia de las posturas al sentarse y dormir en la aparición de deformidades del sistema musculoesquelético en el niño. MediSur. 2005;3(3):37-54.
  18. Rodríguez, JC. Adoptar una posición que parece inadecuada: ¿es vicio postural o hace parte del desarrollo normal de la postura? Revista Ciencias de la Salud. 2003;1(1):58-67.
  19. Staheli LT. In-toeing and out-toeing in children. J Fam Pract. 1983;16(5):1005-11.
  20. Antonelli M, Rosas C, Rojas M. Limb development in vertebrates. Int J Morphol. 2012;30:1512-19. DOI: 10.4067/S0717-95022012000400040.
  21. Hrycaj SM, Wellik DM. Hox genes and evolution. F1000Res. 2016;5:F1000 Faculty Rev-859. DOI: 10.12688/f1000research.7663.1.
  22. Hernández V. Análisis de las variables baropodométricas en el tratamiento ortopodológico del Hallux Limitus. 2021. Tesis de doctorado. UCAM.
  23. Souza TR, Mancini MC, Araújo VL, et al. Clinical measures of hip and foot-ankle mechanics as predictors of rearfoot motion and posture. Man Ther. 2014;19(5):379-85. DOI: 10.1016/j.math.2013.10.003.
  24. Hawi H, Kaireit TF, Krettek C, Liodakis E. Clinical assessment of tibial torsion differences. Do we always need a computed tomography?. Eur J Trauma Emerg Surg. 2022;48(4):3229-35. DOI: 10.1007/s00068-022-01884-4.
  25. Zammit GV, Munteanu SE, Menz HB. Development of a diagnostic rule for identifying radiographic osteoarthritis in people with first metatarsophalangeal joint pain. Osteoarthritis Cartilage. 2011;19(8):939-45. DOI: 10.1016/j.joca.2011.04.010.
  26. Menz HB, Munteanu SE. Radiographic validation of the Manchester scale for the classification of hallux valgus deformity. Rheumatology (Oxford). 2005;44(8):1061-66. DOI: 10.1093/rheumatology/keh687.
  27. Cobos-Moreno P, Astasio-Picado Á, Martínez-Nova A, Sánchez-Rodríguez R, Escamilla-Martínez E, Gómez-Martín B. The Podoprint® plantar pressure platform: Evaluation of reliability and repeatability, and determination of the normality parameters. J Tissue Viability. 2022;31(4):619-24. DOI: 10.1016/j.jtv.2022.07.005.
  28. Sánchez Rodríguez R, Martínez Nova A, Escamilla Martínez E, Gómez Martín B, Martínez Quintana R, Pedrera Zamorano JD. The foot posture index: anthropometric determinants and influence of sex. J Am Podiatr Med Assoc. 2013;103(5):400-04. DOI: 10.7547/1030400.
  29. Lafuente Sotillos G, Lafuente Fuster B, López Carrero E, Talamino Delgado E. Reflexiones sobre la torsión tibial externa y repercusiones en la biomecánica. Rev Esp Pod 2022;33(2):128-33. DOI: 10.20986/revesppod.2022.1652/2022.
  30. Shultz SJ, Nguyen AD, Schmitz RJ. Differences in lower extremity anatomical and postural characteristics in males and females between maturation groups. J Orthop Sports Phys Ther. 2008;38(3):137-49. DOI: 10.2519/jospt.2008.2645.
  31. Shultz SJ, Nguyen AD. Bilateral asymmetries in clinical measures of lower-extremity anatomic characteristics. Clin J Sport Med. 2007;17(5):357-61. DOI: 10.1097/JSM.0b013e31811df950.
  32. Singh H, Gupta P, Kaur R, Sharma C. Comparison of clinical with CT based evaluation for tibial torsion. J Clin Orthop Trauma. 2022;29:101875. DOI: 10.1016/j.jcot.2022.101875.
  33. Davids JR, Davis RB. Tibial torsion: significance and measurement. Gait Posture. 2007;26(2):169-71. DOI: 10.1016/j.gaitpost.2007.05.002.
  34. Nguyen AD, Shultz SJ. Sex differences in clinical measures of lower extremity alignment. J Orthop Sports Phys Ther. 2007;37(7):389-98. DOI: 10.2519/jospt.2007.2487.
  35. Hallaçeli H, Uruç V, Uysal HH, et al. Normal hip, knee, and ankle range of motion in the Turkish population. Acta Orthop Traumatol Turc. 2014;48(1):37-42. DOI: 10.3944/AOTT.2014.3113.
  36. Kouyoumdjian P, Coulomb R, Sanchez T, Asencio G. Clinical evaluation of hip joint rotation range of motion in adults. Orthop Traumatol Surg Res. 2012;98(1):17-23. DOI: 10.1016/j.otsr.2011.08.015.
  37. American Academy of Orthopedic Surgeons: Joint Motion: Method of measuring and recording, Chicago, IL: American Academy of Orthopedic Surgeons; 1965.
  38. Cannon A, Finn K, Yan Z. Comparison of hip internal and external rotation between intercollegiate distance runners and non-running college students. Int J Sports Phys Ther. 2018;13(6):956-62. DOI: 10.26603/ijspt20180956.
  39. Steadman J, Barg A, Saltzman CL. First metatarsal rotation in hallux valgus deformity. Foot Ankle Int. 2021;42(4):510-22. DOI: 10.1177/1071100721997149.
  40. Crooks SA, Lewis TL, Ray R, Gordon DJ. Symmetry of bilateral hallux valgus deformity: A radiographic study. Clin Anat. 2022;35(4):414-20. DOI: 10.1002/ca.23772.
  41. Frimenko RE, Lievers W, Coughlin MJ, Anderson RB, Crandall JR, Kent RW. Etiology and biomechanics of first metatarsophalangeal joint sprains (turf toe) in athletes. Crit Rev Biomed Eng. 2012;40(1):43-61. DOI: 10.1615/CritRevBiomedEng.v40.i1.30.
  42. Carbonell-Bobadilla N, Rodríguez-Álvarez AA, Rojas-García G, Barragán-Garfias JA, Orrantia-Vertiz M, Rodríguez-Romo R. Síndrome de hipermovilidad articular. Acta ortopedica mexicana. 2020;34(6):441-9. DOI: 10.35366/99145.
  43. Gonçalves de Carvalho BK, Penha PJ, Ramos NLJP, Andrade RM, Ribeiro AP, João SMA. Age, sex, body mass index, and laterality in the foot posture of adolescents: A cross sectional study. J Manipulative Physiol Ther. 2020;43(7):744-52. DOI: 10.1016/j.jmpt.2018.11.035.
  44. Livingston LA, Mandigo JL. Bilateral rearfoot asymmetry and anterior knee pain syndrome. J Orthop Sports Phys Ther. 2003;33(1):4855.
  45. Nguyen AD, Shultz SJ. Sex differences in clinical measures of lower extremity alignment. J Orthop Sports Phys Ther. 2007;37(7):389-98. DOI: 10.2519/jospt.2007.2487.
  46. Ciufo DJ, Baker EA, Gehrke CK, Vaupel ZM, Fortin PT. Tibial torsion correlates with talar morphology. Foot Ankle Surg. 2022;28(3):354-61. DOI: 10.1016/j.fas.2021.04.007.
  47. Lafuente G, Munuera PV, Dominguez G, Reina M, Lafuente B. Hallux limitus and its relationship with the internal rotational pattern of the lower limb. J Am Podiatr Med Assoc. 2011;101(6):467-74. di:10.7547/1010467 DOI: 10.7547/1010467.
  48. Zhao X, Tsujimoto T, Kim B, Katayama Y, Tanaka K. Characteristics of foot morphology and their relationship to gender, age, body mass index and bilateral asymmetry in Japanese adults. J Back Musculoskelet Rehabil. 2017;30(3):527-35. DOI: 10.3233/BMR-150501.
  49. Verch R, Hirschmüller A, Müller J, Baur H, Mayer F, Müller S. Is in-toing gait physiological in children? - Results of a large cohort study in 5910 healthy (pre-) school children. Gait Posture. 2018;66:70-75. DOI: 10.1016/j.gaitpost.2018.08.019.
  50. Tong JW, Kong PW. Reliability of footprint geometric and plantar loading measurements in children using the Emed(®) M system. Gait Posture. 2013;38(2):281-86. DOI: 10.1016/j.gaitpost.2012.11.025.
  51. Katz K, Naor N, Merlob P, Wielunsky E. Rotational deformities of the tibia and foot in preterm infants. J Pediatr Orthop. 1990;10(4):483-85. DOI: 10.1097/01241398-199010040-00010.
  52. Furdon SA, Donlon CR. Examination of the newborn foot: positional and structural abnormalities. Adv Neonatal Care. 2002;2(5):248-58.

Nuevo comentario

Código de seguridad:
CAPTCHA code image
Speak the codeChange the code
 

Comentarios

No hay comentarios para este artículo.

Bibliografía

1. Zirngibl B, Grifka J, Baier C, Götz J. Hallux valgus: Ätiologie, diagnostische und therapeutische Prinzipien. Orthopade. 2017;46(3):283-96.
2. Shi GG, Whalen JL, Turner NS 3rd, Kitaoka HB. Operative approach to adult hallux valgus deformity: Principles and techniques. J Am Acad Orthop Surg. 2020;28(10):410-18.
3. de Cesar Netto C, Richter M. Use of advanced weightbearing imaging in evaluation of hallux valgus. Foot Ankle Clin. 2020;25(1):31-45.
4. Ray JJ, Friedmann AJ, Hanselman AE, Vaida J, Dayton PD, Hatch DJ, et al. Hallux valgus. Foot Ankle Orthop. 2019;4(2):2473011419838500.
5. Alexander N, Wegener R, Lengnick H, Payne E, Klima H, Cip J, et al. Compensatory gait deviations in patients with increased outward tibial torsion pre and post tibial derotation osteotomy. Gait Posture. 2020;77:43-51.
6. Bruderer-Hofstetter M, Fenner V, Payne E, Zdenek K, Klima H, Wegener R. Gait deviations and compensations in pediatric patients with increased femoral torsion. J Orthop Res. 2015;33(2):155-62.
7. Gruskay JA, Fragomen AT, Rozbruch SR. Idiopathic rotational abnormalities of the lower extremities in children and adults. JBJS Rev. 2019;7(1):e3.
8. Eckhoff DG, Jacofsky DJ, Springer BD, Dunbar M, Cherian JJ, Elmallah RK, et al. Bilateral symmetrical comparison of femoral and tibial anatomic features. J Arthroplasty. 2016;31(5):1083-90.
9. Mathon P, Micicoi G, Seil R, Kacaoglu B, Cerciello S, Ahmad F, et al. Healthy middle-aged Asian and Caucasian populations present with large intra- and inter-individual variations of lower limb torsion. Knee Surg Sports Traumatol Arthrosc. 2021;29(4):1083-89.
10. Fabry G, Cheng LX, Molenaers G. Normal and abnormal torsional development in children. Clin Orthop Relat Res. 1994;(302):22-6.
11. Bleck EE. Developmental orthopaedics. III: Toddlers. Dev Med Child Neurol. 1982;24(4):533-55.
12. Radler C, Kranzl A, Manner HM, Höglinger M, Ganger R, Grill F. Torsional profile versus gait analysis: consistency between the anatomic torsion and the resulting gait pattern in patients with rotational malalignment of the lower extremity. Gait Posture. 2010;32(3):405-10.
13. Ries C, Boese CK, Ott N, Doerner J, Müller LP, Hackl M. Intra-individual variance of bilateral femoro-tibial leg rotation: a CT study of 105 healthy subjects. Knee Surg Sports Traumatol Arthrosc. 2021;29(4):1106-13.
14. Hudson D. A comparison of ultrasound to goniometric and inclinometer measurements of torsion in the tibia and femur. Gait Posture. 2008;28(4):708-10.
15. Jeon JH, Yoon YS, Lee KJ, Yu KP, Lee JH, Seog TY, et al. A new instrument for measuring tibial torsion in pediatric patients. Ann Rehabil Med. 2017;41(3):441-49.
16. Sass P, Hassan G. Lower extremity abnormalities in children [published correction FPAears in Am Fam Physician. 2004;69(5):1049. Am Fam Physician. 2003;68(3):461-68.
17. Requeiro Molina JJ, Izaquirre Martínez Y, Machado Consuegra A, Requeiro Molina GM, Morejón Fernández JM, Rodríguez Medina O. Influencia de las posturas al sentarse y dormir en la aparición de deformidades del sistema musculoesquelético en el niño. MediSur. 2005;3(3):37-54.
18. Rodríguez, JC. Adoptar una posición que parece inadecuada: ¿es vicio postural o hace parte del desarrollo normal de la postura? Revista Ciencias de la Salud. 2003;1(1):58-67.
19. Staheli LT. In-toeing and out-toeing in children. J Fam Pract. 1983;16(5):1005-11.
20. Antonelli M, Rosas C, Rojas M. Limb development in vertebrates. Int J Morphol. 2012;30:1512-19.
21. Hrycaj SM, Wellik DM. Hox genes and evolution. F1000Res. 2016;5:F1000 Faculty Rev-859.
22. Hernández V. Análisis de las variables baropodométricas en el tratamiento ortopodológico del Hallux Limitus. 2021. Tesis de doctorado. UCAM.
23. Souza TR, Mancini MC, Araújo VL, et al. Clinical measures of hip and foot-ankle mechanics as predictors of rearfoot motion and posture. Man Ther. 2014;19(5):379-85.
24. Hawi H, Kaireit TF, Krettek C, Liodakis E. Clinical assessment of tibial torsion differences. Do we always need a computed tomography?. Eur J Trauma Emerg Surg. 2022;48(4):3229-35.
25. Zammit GV, Munteanu SE, Menz HB. Development of a diagnostic rule for identifying radiographic osteoarthritis in people with first metatarsophalangeal joint pain. Osteoarthritis Cartilage. 2011;19(8):939-45.
26. Menz HB, Munteanu SE. Radiographic validation of the Manchester scale for the classification of hallux valgus deformity. Rheumatology (Oxford). 2005;44(8):1061-66.
27. Cobos-Moreno P, Astasio-Picado Á, Martínez-Nova A, Sánchez-Rodríguez R, Escamilla-Martínez E, Gómez-Martín B. The Podoprint® plantar pressure platform: Evaluation of reliability and repeatability, and determination of the normality parameters. J Tissue Viability. 2022;31(4):619-24.
28. Sánchez Rodríguez R, Martínez Nova A, Escamilla Martínez E, Gómez Martín B, Martínez Quintana R, Pedrera Zamorano JD. The foot posture index: anthropometric determinants and influence of sex. J Am Podiatr Med Assoc. 2013;103(5):400-04.
29. Lafuente Sotillos G, Lafuente Fuster B, López Carrero E, Talamino Delgado E. Reflexiones sobre la torsión tibial externa y repercusiones en la biomecánica. Rev Esp Pod 2022;33(2):128-33.
30. Shultz SJ, Nguyen AD, Schmitz RJ. Differences in lower extremity anatomical and postural characteristics in males and females between maturation groups. J Orthop Sports Phys Ther. 2008;38(3):137-49.
31. Shultz SJ, Nguyen AD. Bilateral asymmetries in clinical measures of lower-extremity anatomic characteristics. Clin J Sport Med. 2007;17(5):357-61.
32. Singh H, Gupta P, Kaur R, Sharma C. Comparison of clinical with CT based evaluation for tibial torsion. J Clin Orthop Trauma. 2022;29:101875.
33. Davids JR, Davis RB. Tibial torsion: significance and measurement [published correction FPA appears in Gait Posture. 2009;30(4):563. Gait Posture. 2007;26(2):169-71.
34. Nguyen AD, Shultz SJ. Sex differences in clinical measures of lower extremity alignment. J Orthop Sports Phys Ther. 2007;37(7):389-98.
35. Hallaçeli H, Uruç V, Uysal HH, et al. Normal hip, knee, and ankle range of motion in the Turkish population. Acta Orthop Traumatol Turc. 2014;48(1):37-42.
36. Kouyoumdjian P, Coulomb R, Sanchez T, Asencio G. Clinical evaluation of hip joint rotation range of motion in adults. Orthop Traumatol Surg Res. 2012;98(1):17-23.
37. American Academy of Orthopedic Surgeons: Joint Motion: Method of measuring and recording, Chicago, IL: American Academy of Orthopedic Surgeons; 1965.
38. Cannon A, Finn K, Yan Z. Comparison of hip internal and external rotation between intercollegiate distance runners and non-running college students. Int J Sports Phys Ther. 2018;13(6):956-62.
39. Steadman J, Barg A, Saltzman CL. First metatarsal rotation in hallux valgus deformity. Foot Ankle Int. 2021;42(4):510-22.
40. Crooks SA, Lewis TL, Ray R, Gordon DJ. Symmetry of bilateral hallux valgus deformity: A radiographic study. Clin Anat. 2022;35(4):414-20.
41. Frimenko RE, Lievers W, Coughlin MJ, Anderson RB, Crandall JR, Kent RW. Etiology and biomechanics of first metatarsophalangeal joint sprains (turf toe) in athletes. Crit Rev Biomed Eng. 2012;40(1):43-61.
42. Carbonell-Bobadilla N, Rodríguez-Álvarez AA, Rojas-García G, Barragán-Garfias JA, Orrantia-Vertiz M, Rodríguez-Romo R. Síndrome de hipermovilidad articular. Acta ortopedica mexicana. 2020;34(6):441-9.
43. Gonçalves de Carvalho BK, Penha PJ, Ramos NLJP, Andrade RM, Ribeiro AP, João SMA. Age, sex, body mass index, and laterality in the foot posture of adolescents: A cross sectional study. J Manipulative Physiol Ther. 2020;43(7):744-52.
44. Livingston LA, Mandigo JL. Bilateral rearfoot asymmetry and anterior knee pain syndrome. J Orthop Sports Phys Ther. 2003;33(1):4855.
45. Nguyen AD, Shultz SJ. Sex differences in clinical measures of lower extremity alignment. J Orthop Sports Phys Ther. 2007;37(7):389-98.
46. Ciufo DJ, Baker EA, Gehrke CK, Vaupel ZM, Fortin PT. Tibial torsion correlates with talar morphology. Foot Ankle Surg. 2022;28(3):354-61.
47. Lafuente G, Munuera PV, Dominguez G, Reina M, Lafuente B. Hallux limitus and its relationship with the internal rotational pattern of the lower limb. J Am Podiatr Med Assoc. 2011;101(6):467-74. di:10.7547/1010467
48. Zhao X, Tsujimoto T, Kim B, Katayama Y, Tanaka K. Characteristics of foot morphology and their relationship to gender, age, body mass index and bilateral asymmetry in Japanese adults. J Back Musculoskelet Rehabil. 2017;30(3):527-35.
49. Verch R, Hirschmüller A, Müller J, Baur H, Mayer F, Müller S. Is in-toing gait physiological in children? - Results of a large cohort study in 5910 healthy (pre-) school children. Gait Posture. 2018;66:70-75.
50. Tong JW, Kong PW. Reliability of footprint geometric and plantar loading measurements in children using the Emed(®) M system. Gait Posture. 2013;38(2):281-86.
51. Katz K, Naor N, Merlob P, Wielunsky E. Rotational deformities of the tibia and foot in preterm infants. J Pediatr Orthop. 1990;10(4):483-85.
52. Furdon SA, Donlon CR. Examination of the newborn foot: positional and structural abnormalities. Adv Neonatal Care. 2002;2(5):248-58.

Artículos relacionados

Lesiones de interés podológico en la práctica habitual de deportes de contacto

Rev. Esp. Pod. 2023; 34(2): 104-108 / DOI: 10.20986/revesppod.2023.1668/2023

Influencia del tratamiento quirúrgico para el hallux abductus valgus en la movilidad del primer radio

Rev. Esp. Pod. 2023; 34(1): 13-18 / DOI: 10.20986/revesppod.2023.1650/2022

Reflexiones sobre la torsión tibial externa y repercusiones en la biomecánica

Rev. Esp. Pod. 2022; 33(2): 128-133 / DOI: 10.20986/revesppod.2022.1652/2022

Actualización de nuevas técnicas de vendaje neuromuscular en podología

Rev. Esp. Pod. 2022; 33(1): 59-65 / DOI: 10.20986/revesppod.2022.1630/2022

Movimiento del primer radio en sujetos con hallux limitus vs. sujetos con pies normales
III Premio Virginia Novel

Rev. Esp. Pod. 2021; 32(2): 116-122 / DOI: 10.20986/revesppod.2021.1621/2021

Extracción de tofos gotosos. Caso clínico.

Rev. Esp. Pod. 2019; 30(1): 24-30 / DOI: 10.20986/revesppod.2019.1515/2018

Biomecánica en las AFOS. AFO PODIÁTRICAS.

Rev Esp Pod 2012;23:184-94

Instrucciones para citar

Giménez López R. Anomalías rotacionales en mujeres con hallux valgus. Estudio observacional. Rev Esp Pod 2023; 34(2): 90-98 / DOI: 1020986/revesppod20231673/2023


Descargar a un gestores de citas

Descargue la cita de este artículo haciendo clic en uno de los siguientes gestores de citas:

Métrica

Este artículo ha sido visitado 18642 veces.
Este artículo ha sido descargado 70 veces.

Estadísticas de Dimensions


Estadísticas de Plum Analytics

Ficha Técnica

Recibido: 30/07/2023

Aceptado: 23/11/2023

Prepublicado: 27/12/2023

Publicado: 29/12/2023

Tiempo de revisión del artículo: 112 días

Tiempo de prepublicación: 150 días

Tiempo de edición del artículo: 152 días


Compartir

Este artículo aun no tiene valoraciones .
Valoración del lector:
Valora este artículo:
2025 Revista Española de Podología
ISSN: 0210-1238   e-ISSN: 2695-463X

      Indexada en: