Year 2023 / Volume 34 / Number 1

Original Papers

Functionality of the lower limb of swimmers in relation to swimming style: descriptive observational study

Rev. Esp. Pod. 2023; 34(1): 19-24 / DOI: 10.20986/revesppod.2023.1651/2022

Sara Pérez Cano, Elena Escamilla-Martínez, Paula Cobos Moreno, Álvaro Astasio Picado, Beatriz Gómez-Martín


ABSTRACT

Objective: Swimming is a sports discipline that requires a functional demand from the entire musculoskeletal system. Despite being a sport that takes place in an environment without load, the participation of the lower limbs is essential for swimming performance. The main objective is to determine if the years of specialization by swimming styles influence or not, the functional profile of the lower limb of swimmers.
Patients and methods: The study is carried out in 25 swimmers between 10 and 19 years old belonging to a spanish swimming club. The data to take into account are: sex, age, BMI, predominant style, among others, in addition to the values obtained after the individual clinical examination, which consists of seven tests.
Results: The swimming style in which the swimmer is specialized does not seems to influence significantly the functionality of the lower limbs, (p-value greater than 0.05, Kruskal-Wallis test), values between 0.13-0.87).
Conclusion: It can be concluded that the years of specialization in a specific swimming style do not influence the functional profile of the lower limb of the swimmers participating in this study.



RESUMEN

Objetivo: La natación es una disciplina deportiva que requiere de una exigencia funcional por parte de todo el aparato locomotor. A pesar de ser un deporte que se realiza en un entorno sin carga, la participación de los miembros inferiores es imprescindible para el rendimiento del nado. El objetivo principal es determinar si los años de especialización por estilos de nado influyen, o no, en el perfil funcional del miembro inferior de los nadadores.
Pacientes y métodos: El estudio se lleva a cabo en 25 nadadores de entre 10 y 19 años pertenecientes a un club de natación español. Los datos a tener en cuenta son: sexo, edad, IMC, estilo predominante, entre otros, además de los valores obtenidos tras la exploración clínica individual, que consta de siete pruebas.
Resultados: El estilo de nado en el que el nadador se encuentra especializado no parece influir significativamente sobre la funcionalidad de los miembros inferiores, (p valor mayor a 0.05, Prueba Kruskal-Wallis), valores comprendidos entre 0.13 y 0.87.
Conclusión: Se puede concluir que los años de especialización en un estilo de nado concreto, no influyen en el perfil funcional del miembro inferior de los nadadores participantes en este estudio.





Complete Article


DOI: http://dx.doi.org/10.20986/revesppod.2023.1651/2022
ORIGINAL

Funcionalidad del miembro inferior de los nadadores en relaci�n con el estilo de nado: estudio descriptivo observacional
Functionality of the lower limb of swimmers in relation to swimming style: descriptive observational study

Sara Pérez Cano1, Elena Escamilla-Martínez2, Paula Cobos Moreno3, Álvaro Astasio Picado4 y Beatriz Gómez-Martín2

1Centro Universitario de Plasencia, Cáceres, España
2Departamento de Enfermería y Podología. Universidad de Extremadura. Badajoz, España
3Centro Ciencias Biomédicas Universitario de Plasencia, Cáceres, España
4Departamento de Enfermería. Universidad de Castilla-La Mancha. Ciudad Real, España

Resumen
Objetivo: La nataci�n es una disciplina deportiva que requiere de una exigencia funcional por parte de todo el aparato locomotor. A pesar de ser un deporte que se realiza en un entorno sin carga, la participación de los miembros inferiores es imprescindible para el rendimiento del nado. El objetivo principal es determinar si los a�os de especializaci�n por estilos de nado influyen, o no, en el perfil funcional del miembro inferior de los nadadores.
Pacientes y métodos: El estudio se lleva a cabo en 25 nadadores de entre 10 y 19 a�os pertenecientes a un club de natación español. Los datos a tener en cuenta son: sexo, edad, IMC, estilo predominante, entre otros, adem�s de los valores obtenidos tras la exploraci�n cl�nica individual, que consta de siete pruebas.
Resultados: El estilo de nado en el que el nadador se encuentra especializado no parece influir significativamente sobre la funcionalidad de los miembros inferiores, (p valor mayor a 0.05, Prueba Kruskal-Wallis), valores comprendidos entre 0.13 y 0.87.
Conclusión: Se puede concluir que los a�os de especializaci�n en un estilo de nado concreto, no influyen en el perfil funcional del miembro inferior de los nadadores participantes en este estudio.

Palabras clave: Natación, función, miembro inferior, podología, exploración.

Abstract
Objective: Swimming is a sports discipline that requires a functional demand from the entire musculoskeletal system. Despite being a sport that takes place in an environment without load, the participation of the lower limbs is essential for swimming performance. The main objective is to determine if the years of specialization by swimming styles influence or not, the functional profile of the lower limb of swimmers.
Patients and methods: The study is carried out in 25 swimmers between 10 and 19 years old belonging to a spanish swimming club. The data to take into account are: sex, age, BMI, predominant style, among others, in addition to the values ??obtained after the individual clinical examination, which consists of seven tests.
Results: The swimming style in which the swimmer is specialized does not seems to influence significantly the functionality of the lower limbs, (p-value greater than 0.05, Kruskal-Wallis test), values between 0.13-0.87).
Conclusion: It can be concluded that the years of specialization in a specific swimming style do not influence the functional profile of the lower limb of the swimmers participating in this study.

Keywords: Swimming, function, lower limb, podiatry, exploration.

Recibido: 29-11-2022
Aceptado: 12-12-2022

Correspondencia: Paula Cobos Moreno
pacobosm@unex.es

Introducción

La natación como actividad física deportiva es considerada una de las disciplinas deportivas más completas y beneficiosas para el cuerpo humano1-3. La acción de desplazarse por el agua implica una exigencia funcional por parte de todo el aparato locomotor que favorece el desarrollo de las capacidades físicas básicas y mantiene en equilibrio físico y psicológico del cuerpo y la salud, puntos fundamentales para el bienestar físico1,2,4. Esta práctica deportiva se desarrolla en un entorno sin carga y libre de impactos5-10.
La Federación Internacional de Natación Amateur (FINA) reconoce cuatro técnicas o estilos de nado; estos son: crol, mariposa, espalda y braza8,11. La práctica de cualquiera de ellos es posible gracias al impulso creado por patrones de movimientos cíclicos de las extremidades superiores e inferiores. Coordinar y repetir estos movimientos técnicos es lo que permite que el cuerpo flote y supere la resistencia del agua, aumentando el rendimiento del nadador2,5,8,10,12,13.
A pesar del carácter cíclico que define los cuatro estilos, los distintos gestos t�cnicos que existen entre ellos son evidentes debido a las cargas propias que genera cada estilo, requiriendo una adaptación musculoesquel�tica específica5,14.
Esta investigaci�n se centra en la funcionalidad del miembro inferior como estructura anatómica imprescindible, en el desarrollo de la locomoción y, por lo general, en la práctica deportiva, en este caso en la natación15-17.
Durante la práctica de los distintos estilos de nado, los gestos t�cnicos solicitan capacidades físicas básicas como la fuerza, la flexibilidad, la resistencia, el rango de movimiento articular (o range of motion [ROM]) y medidas antropométricas, entre otras5,18-20. El conjunto de estas características le permite al nadador decantarse y especializarse entre los diferentes estilos de nado21-23.
Aunque hay investigaciones que han vinculado la función de los miembros inferiores con un mayor rendimiento en los estilos de nado, como la braza o la mariposa, a d�a de hoy siguen siendo limitados los estudios que han investigado la funcionalidad en general de esta extremidad en la poblaci�n nadadora3,24,25, así como los autores que han investigado la influencia del pie y el tobillo en el nado18,26.
En base a los estudios encontrados en la literatura científica no se han observado investigaciones que analicen si la práctica de los diferentes estilos de nado, para un deporte considerado cíclico, con acción simultánea y bilateral, como es la natación, puede provocar diferencias significativas en los patrones funcionales de estructuras del cuerpo implicadas y de relevante importancia, como son los miembros inferiores21, por lo que la escasez, antigüedad y la poca justificación científica sobre este tema es lo que ha motivado a realizar esta investigaci�n5-27.
Por lo tanto, el presente estudio surge del interés de instaurar un perfil funcional del miembro inferior según el estilo de nado predominante en cada nadador participante, cuya finalidad sea optimizar y aportar valores de referencia útiles para el entrenador y el nadador a la hora de desarrollar la parte específica del entrenamiento. Además el objetivo planteado fue observar si los años de especialización por estilo de nado podrían influir, o no, en el perfil funcional del miembro inferior.

Pacientes y métodos

Población de estudio

La muestra estuvo constituida por 25 nadadores voluntarios (15 nadadores de sexo femenino y 10 nadadores de sexo masculino), de un rango de edad entre 10 y 19 años. Todos ellos con un alto grado de especializaci�n en nataci�n. Son nadadores pertenecientes al club de natación Sierra Sur, ubicado en el municipio de Alcal� la Real (Ja�n-Espa�a) y actualmente federados por la Federaci�n Andaluza de Nataci�n (FAN).
Son considerados criterios de inclusi�n acceder de forma voluntaria a la realizaci�n del estudio, pertenecer al club de natación Sierra Sur y encontrarse federado por la FAN, ser menor de 20 a�os y llevar m�s de tres a�os practicando nataci�n con un entrenamiento semanal de m�s de 5 horas.
Como criterios de exclusi�n se consideran: la renuncia a la firma del consentimiento informado o que decidan abandonar el estudio antes de que este haya llegado a su fin. Adem�s, se excluyen aquellos nadadores que no se encuentren especializados en ninguno de los cuatro estilos de nado existentes y que no practiquen la nataci�n a nivel competitivo.

Mediciones del estudio

La recogida de datos se llev� a cabo a trav�s de un cuestionario online dise�ado para tal fin. Se trata de un breve cuestionario an�nimo, para el cual se le asigna un n�mero a cada participante. Se recogerían datos sociodemográficos, antropométricos, podológicos y 7 pruebas que valoran la funcionalidad del miembro inferior (“Toe Touch” Test (TT): aportación de valores lineales sobre la musculatura isquiosural (P1); test de Lunge (TL): valores sobre la amplitud de movimiento de la flexi�n dorsal del tobillo (P2); prueba de elevaci�n pasiva de la pierna recta (PSLR): medidas angulares de la flexibilidad muscular isquiosural (P3); prueba de medici�n de �ngulo de rotaci�n interna y externa de cadera (Staheli test): grados de movilidad de la rotaci�n de la articulaci�n de la cadera (P4); prueba de rotaci�n interna y externa de rodilla: grados de rotaci�n de la articulaci�n de la rodilla (P5); Foot Posture Index (FPI): clasificaci�n de la postura del pie (P6) y Medici�n �ngulo Q: medida angular (P7).
Una vez completado el cuestionario y haber sido previamente sometido a una sesi�n de familiarizaci�n con finalidad de reducir el sesgo de error, se lleva a cabo la exploraci�n f�sica de los miembros inferiores.
Cada exploraci�n cuenta con un tiempo de veinte minutos aproximadamente, contando con 30 segundos de descanso entre cada prueba o test. Los participantes eran llamados de manera individual a una habitaci�n habilitada y con la m�xima y adecuada privacidad.

Análisis estadístico

La valoraci�n de datos ha sido realizada a través del sistema informático SPSS versión 22.0 (IBM Corp. Released 2013. IBM SPSS Statistics for Windows, Version 22.0. Armonk, NY: IBM Corp.).
Las pruebas estadísticas realizadas fueron: Kruskal Wallis, prueba binomial, U Mann Whitney, Shapiro-Wilk. En cuanto al an�lisis de las variables, se realiz� una prueba de contraste de hip�tesis mediante el test de Mann-Whitney, que fue utilizada para la comparación de medias/rangos entre grupos. Los resultados estadísticos se mostraron mediante la media y desviaci�n est�ndar y un valor de p < 0.05 fue considerado como estadísticamente significativo.

Resultados

Se analizan las caracter�sticas basales de los 25 sujetos de estudio en relaci�n al sexo, edad e IMC (medidas antropom�tricas). Con respecto al sexo, 10 de los sujetos fueron hombres (40 %) y 15 mujeres (60 %), observándose cierto equilibrio entre ambos sexos, (p valor 0.424, prueba binomial). La media de edad entre los 25 nadadores fue de 14.72 ± 2.45, siendo el m�nimo de edad 10 a�os y el m�ximo 19 a�os. No se obtuvieron diferencias significativas en la muestra de estudio con respecto a la edad (p valor 0.368, prueba binomial). Asimismo, no se observan diferencias significativas para el sexo por edades (p valor 0.765, prueba U de Mann-Whitney). La media de edad en hombres es de 14.40 ± 3.02, frente a la media de edad 14.43 ± 2.08, que presentan las mujeres.
Se comprobó que las pruebas realizadas siguen un modelo normal, a excepci�n de la P4 y P6, por lo tanto se opta por hacer pruebas estad�sticas no param�tricas (p valores menor a uno por mil, prueba de Shapiro-Wilk) (Tabla I).

Del mismo modo, el comportamiento del miembro inferior en la nataci�n se comporta igual, en todos los estilos de nado, a excepci�n de la prueba uno, “Toe Touch” (P1), donde s� se aprecia una ligera diferencia significativa (p valor, es 0.047, Prueba Kruskal-Wallis) (Tabla II).

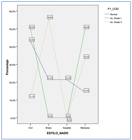
En la Figura 1, se observa cómo existe acortamiento de la extensibilidad de la musculatura isquiosural en los distintos estilos de nado, a excepci�n de los nadadores especializados en el estilo de espalda, de los que el 100 % presentan valores dentro de la normalidad. En el estilo de nado de braza, alrededor del 56 % de los sujetos presenta un acortamiento de grado II, mientras que en el estilo de nado de crol y mariposa predomina el acortamiento de grado I con un 50 % de los sujetos en ambos estilos.

Discusión

No existen investigaciones publicadas en la literatura cient�fica disponible que hayan estudiado en la poblaci�n nadadora un perfil funcional del miembro inferior comparando la simetr�a en ambos miembros inferiores21. En cambio, tras la revisi�n bibliogr�fica encontramos numerosos estudios centrados en el papel funcional que realizan los miembros superiores y la prevalencia de lesiones en la poblaci�n nadadora, todos ellos descuidando como factor relevante y segunda extremidad m�s susceptible de lesiones, los miembros inferiores28-31. En muchos otros deportes de contacto y no contacto son varias las investigaciones que tienen como objetivo el estudio de la asimetr�a funcional en los miembros inferiores32-34. La ausencia de publicaciones cient�ficas que versen sobre los valores funcionales para el miembro inferior en la poblaci�n nadadora, nos obliga a comparar los resultados con estudios en los que se hayan contado con alguna de las pruebas realizadas en nuestro estudio3,18,21,24.
Seg�n el estudio realizado por Hewit y cols., en 201234, donde se indica que la asimetr�a de los miembros inferiores en el deporte puede deberse a muchos factores determinantes como pueden ser los factores hereditarios, fisiol�gicos, anat�micos, adem�s a�ade que las demandas fisiol�gicas de cada deporte pueden ser un factor predisponente de dichas asimetr�as en estos miembros. En la nataci�n, las demandas de movimientos t�cnicos, c�clicos, simult�neos y bilaterales se repiten en los miembros inferiores de manera continuada seg�n el estilo de nado que se realice3,5,8,10,35,36. Esto puede explicar la simetr�a en la mayor�a de las pruebas realizadas para ambas extremidades.
Para estudios como el de S�nchez y cols., en 201437, se obtuvo resultados sim�tricos en ambas extremidades, al igual que para el estudio de Lopezosa- Reca y cols., en 201838, en el que compara el �ngulo Q y el FPI en la poblaci�n masculina de dos deportes diferentes como son la nataci�n y el futbol, en el que afirma que la poblaci�n nadadora presenta valores sim�tricos por encima de 15 grados para el �ngulo Q. Por el contrario, hubo concordancia de los resultados de nuestro estudio con el de Hahn y Foldspang, en 200739, quien afirmaba que los valores m�s altos de �ngulo Q en atletas de diferentes deportes se asociaban a la extremidad inferior derecha. Autores como Livingston y Mandingo, en 199940, relacionan esta diferencia con un aumento del tono y trofismo muscular en el miembro dominante, y Raveendranath y cols., en 201141, lo asocia a una modificaci�n en la posici�n de la tuberosidad de la tibia con respecto al centro de la r�tula. En cambio, Livingston y Spaulding, en 200242, no sugieren justificación a esta diferencia, ya que para estos autores es evidente esta asimetr�a.
Respecto a la rotaci�n externa de rodilla, los escasos métodos encontrados en la literatura cient�fica corresponden a métodos económicamente caros, y por lo tanto de difícil uso clínico43-46. El método empleado en nuestro estudio se basa en un método que permite una valoraci�n mediante goniómetro simple universal; este método solo ha sido usado en un estudio, por lo que a la hora de la comparaci�n de resultados en esta prueba nos hemos encontramos con limitaciones47. Los resultados del estudio presentan una diferencia asim�trica de 5 grados entre ambas extremidades, correspondiendo una media de 47.48 grados para el pie derecho y 43.48 grados para el pie izquierdo; dichas diferencias se encuentran dentro del rango de normalidad. Nuestros estudios son comparables con la investigaci�n realizada por Tsai y cols., en 200848, donde la diferencia entre ambos lados es de aproximadamente 1 grado, o con el estudio publicado por Mounton y cols., en 201249, donde no se encontr� diferencia significativa entre la pierna izquierda y derecha.
No existen estudios publicados que valoren de manera general el perfil funcional del miembro inferior en nadadores, teniendo presente la variable estilo de nado en el que est�n especializados, por lo que al tratarse de un tema innovador no es posible la comparaci�n con lo publicado por otros autores en esta pr�ctica deportivas21. La gran mayor�a de los autores que han investigado esta disciplina deportiva la clasifican como un deporte c�clico, con acci�n simult�nea y bilateral, siendo un deporte con riesgo a sufrir afectaciones y modificaciones en los patrones funcionales de las estructuras del cuerpo implicadas y de relevante importancia, como en este caso son los miembros inferiores27,50-53. Sanz Arribas y cols., en 201354, valoran la extensibilidad de la musculatura isquiosural en 36 nadadores de ambos sexos mediante el test “Sit and Reach”, teniendo en cuenta la variable estilo predominante de cada nadador. Se demostró que la extensibilidad de la musculatura isquiosural evaluada a trav�s del test “Sit and Reach” no se ve influencia por el estilo de nado en el que est�n especializados los nadadores. Muyo y cols., en 201455, destaca que tanto el test “Sit and Reach” como el test “Toe Touch” son de uso muy com�n en el �mbito deportivo, pero son mediciones en la que la inclinaci�n p�lvica y la flexi�n lumbar tienen gran influencia en los resultados. En esta premisa se basa la importancia de realizar una batería de pruebas clínicas, como las utilizadas en el presente estudio56,57.
Para la prueba elevaci�n pasiva de la pierna recta (PSLR) no se ha encontrado diferencia significativa entre los diferentes estilos de nado, que ocurre de igual manera con los resultados obtenidos para el resto de pruebas realizadas58,59, por lo que relacionamos los resultados del test “Toe Touch” con posibles intervenciones de la pelvis y flexi�n lumbar, factores que han podido falsear los resultados para esta prueba.
Aunque estos datos nos puedan sorprender, debe quedar claro que independientemente del estilo de nado en el que el nadador lleva años especializado es el estilo crol el estilo que ocupa la mayor parte del volumen de los entrenamientos, siendo importante destacar como limitación que contamos con una muestra pequeña, habiendo encontrado resultados más relevantes si esta muestra de estudio hubiera sido mayor.
Por todo ello, se concluye que los resultados para el presente estudio determinan que el estilo de nado en el que el nadador lleva a�os especializado no parece influir significativamente sobre la funcionalidad miembro inferior. No obstante, es imposible establecer discusi�n al respecto con lo expresado con otros autores, debido a la inexistencia de publicaciones cient�ficas hasta la fecha. Desde esta investigaci�n, se considera adecuado plantear nuevas l�neas de investigaci�n que sirvan para ratificar nuestros hallazgos y profundizar en el tema.

Consideraciones éticas

Este estudio contó con la aprobación del Comité de Bioética de la Universidad de Extremadura (España), n.º de registro 26/2022, y fue planificado y realizado siguiendo los principios éticos de la Declaración de Helsinki. Todos los participantes firmaron una declaración de consentimiento informado antes de participar en el estudio.

Conflicto de intereses

No hay conflicto de intereses por parte de los autores.

Financiación

Ninguna.

Bibliografía

  1. Agust�n Pafundi M. Lumbalgia en nadadores [tesis dis]. Argentina: Facultad de Ciencias M�dicas. Departamento de Kinesiolog�a, Universidad FASTA. Argentina; 2015.
  2. Bermeo Matute KD, Salazar Sierra JG. Efectividad del ejercicio exc�ntrico y conc�ntrico del manguito rotador para el mejoramiento del rendimiento de los nadadores. Ecuador: Universidad Cat�lica de Santiago de Guayaquil; 2018. p. 85.
  3. Nahar N, S�nchez JAM, Mu�oz JFC, de la Rosa FJB. Rodilla del nadador. Principal zona de lesi�n en el estilo braza. Revisi�n Sistem�tica. Log�a Educ F�sica Deporte Rev Digit Investig En Cienc Act F�sica Deporte. 2020;1(1):42-56.
  4. Vanegas Cifuentes B. Nataci�n en adultos mayores como estrategia para fortalecer las articulaciones y reducir lesiones musculares [tesis doctoral]. Universidad de Guayaquil. Facultad de Educaci�n F�sica Deportes y Recreaci�n; 2012:137.
  5. Sanz Arribas I, Mart�nez de Haro V, Cid Yag�e L. ¿Influye la especializaci�n en los estilos de nataci�n sobre la extensibilidad isquiosural? Rev Int Med Cienc Act F�sica Deporte. 2016;16(61):1577-354. DOI: 10.15366/rimcafd2016.61.005.
  6. Smith RG. Study of the relationship between leg strength and swimming speed using the flutter kick in the prone position [tesis doctoral]. The University of Montana; 1990. p. 82.
  7. P�rez MLD, P�rez AUR, Infante DJ. Experiencia pedagógica en el entrenamiento deportivo de natación con atleta limitado físico. Hig Sanid Ambient. 2015;15(3):1337-42.
  8. Adiele D, Morgan GP. Prevalence of Musculoskeletal Injuries in Males and Females Practicing Swimming from Higher School of Zimbabwe. Am J Sports Sci. 2018;6(1):8-11.
  9. Valencia YMR. Evaluaci�n fisioterap�utica a los deportistas del club de Nataci�n de la Universidad T�cnica del Norte [tesis doctoral]. Ecuador: Repositorio digital Universidad T�cnica del Norte; 2017. p. 82.
  10. Willems TM, Cornelis JAM, De Deurwaerder LEP, Roelandt F, De Mits S. The effect of ankle muscle strength and flexibility on dolphin kick performance in competitive swimmers. Hum Mov Sci. 2014;36:167-76.
  11. Vargas Forero JJ. Estrategia metodol�gica para el aprendizaje del estilo libre en nataci�n de una persona con antrogriposis [tesis doctoral]. Bogot�; 2012.
  12. Garcia M. La estabilidad del core y la prevenci�n de lesiones en la nataci�n. Universidad FASTA, Facultad de Ciencias M�dicas. Argentina; 2017. Disponible en: http://redi.ufasta.edu.ar:8082/jspui/bitstream/123456789/1313/2/2017_K_0 02.pdf
  13. Chaitow L, DeLany JW. Aplicaci�n cl�nica de las t�cnicas neuromusculares. Extremidades inferiores (Bicolor). Paidotribo. 2007;(2):624.
  14. Tobar NJM. Postura est�tica de miembros inferiores y huella plantar de deportistas de la Liga Caucana de atletismo. Expomotricidad. 2015;6.
  15. S�nchez-Lastra MA, Mart�nez-Lemos RI, D�az R, Villanueva M, Ay�n C. Efecto de un programa de nataci�n en la condici�n f�sica de preescolares (Effect of a swimming program on physical condition of preschoolers). Retos. 2 de agosto de 2019;(37):48-53.
  16. Amaro NM, Morou�o PG, Marques MC, Fernandes RJ, Marinho DA. Biomechanical and bioenergetical evaluation of swimmers using fully- tethered swimming: A qualitative review. J Hum Sport Exerc. 2017;12(4):1346-60.
  17. Amaro NM, Morou�o PG, Marques MC, Fernandes RJ, Marinho DA. Biomechanical and bioenergetical evaluation of swimmers using fully- tethered swimming: A qualitative review. J Hum Sport Exerc. 2017;12(4):1346-60.
  18. Mart�nez-Amat A, Hita-Contreras F, Ruiz-Ariza A, Mu�oz-Jim�nez M, Cruz- D�az D, Mart�nez-L�pez EJ. Influencia de la pr�ctica deportiva sobre la huella plantar en atletas espa�oles. Rev Int Med Cienc Act F�sica Deporte. 2016;16(63):423-38.
  19. Jim�nez AD, Prieto PAM, G�mez AM, Lizarazo CL, Garc�a JO, Alvarado SR. An�lisis del gesto deportivo del complejo articular de hombro estilo libre en la liga de nataci�n de Bucaramanga, Colombia. 2010:58.
  20. Ordo�ez EMB, Garc�a PM, Jaramillo AFP, Fl�rez JFZ. Prevalencia del s�ndrome de hombro del nadador y factores asociados en deportistas de la selecci�n Antioquia de nataci�n juvenil II y mayores. Rev Colom Med Fis Rehab. 2018;28(1):25-34.
  21. Palomino-Mart�n A, Gonz�lez-Martel V, Quiroga-Escudero ME, Ortega- Santana F. Efectos del Entrenamiento de Nataci�n sobre la Asimetr�a Corporal en Adolescentes. Int J Morphol. 2015;33(2):507-13.
  22. Cohen RCZ, Cleary PW, Mason BR. Simulations of dolphin kick swimming using smoothed particle hydrodynamics. Hum Mov Sci. 2012;31(3):604-19.
  23. Kippenhan BC. Lower-extremity joint angles used during the breaststroke whip kick and the influence of flexibility on the efectiveness of the kick. En ISBS-Archivo de actas de conferencias. 2002;4.
  24. Jagom�gi G, J�rim�e T. The influence of anthropometrical and flexibility parameters on the results of breaststroke swimming. Anthropol Anz Ber Uber Biol-Anthropol Lit. 2005;63(2):213-9.
  25. Salazar LG, Alvarez JMF, Portilla JJN, Esguerra EAV, Bonilla DVV, Hern�ndez LJ. Caracter�sticas de la huella plantar en deportistas colombianos. Entramado. 2010;6(2):158-67.
  26. Palma Quimis JF. Fundamentaci�n t�cnica b�sica en la nataci�n para el desarrollo del estilo libre en ni�os [B.S. Thesis]. Universidad de Guayaquil, Facultad de Educaci�n F�sica, Deportes y Recreaci�n; 2021:68.
  27. Cejudo A, de Barranda PS, Ayala F, Santonja F. Fiabilidad absoluta de 2 pruebas de valoraci�n del rango de movimiento del tobillo en jugadores de balonmano. Cuad Psicol Deporte. 2012;12(2):23-30.
  28. Nichols AW. Medical Care of the Aquatics Athlete: Curr Sports Med Rep. 2015;14(5):389-96.
  29. Correa Ospina JP, Cardona Santa MC, G�mez Rodas A. Balance y simetr�a de la fuerza isom�trica del hombro en nadadores del Club Flamingo de nataci�n de la ciudad de Pereira. Cuad Investig Semilleros Andina. 2019;(12):17-25.
  30. �vila RC. Swimmer’s shoulder rehabilitation.Rev de divulgaci�n en Fisioterapia. 2020;7(1):5-10.
  31. Bail�n-Cerezo J, Torres-Lacomba M, Guti�rrez-Ortega C. Prevalencia del dolor de hombro en nadadores de competici�n: estudio piloto. Rev Int Med Cienc Act F�sica Deporte. 2016;16(62):317-34.
    140.
  32. Impellizzeri FM, Rampinini E, Maffiuletti N, Marcora SM. A Vertical Jump Force Test for Assessing Bilateral Strength Asymmetry in Athletes. Med Sci Sports Exerc. 2007;39(11):2044-50.
  33. Sannicandro I, Cofano G, Rosa RA, Piccinno A. Balance training exercises decrease lower-limb strength asymmetry in young tennis players. J Sports Sci Med. 2014;13(2): 397.
  34. Hewit J, Cronin J, Hume P. Multidirectional Leg Asymmetry Assessment in Sport. Strength Cond J. 2012;34(1):82-6.
  35. Fousekis K, Tsepis E, Vagenas G. Lower limb strength in professional soccer players: profile, asymmetry, and training age. J Sports Sci Med. 2010;9(3):364.
  36. Belloch DSL. El an�lisis biomec�nico en nataci�n. Facultad de Cienc Act F�sica Deporte. Universitat de Val�ncia, España; 2002:31.
  37. Sanchez HM, Sanchez EG de M, Bara�na MA, Canto RS de T. Evaluation of Q angle in differents static postures. Acta Ortop�dica Bras. 2014;22(6):325-9.
  38. Lopezosa-Reca E, Gijon-Nogueron G, Garcia-Paya I, Ortega-Avila AB. Does the type of sport practised influence foot posture and knee angle? Differences between footballers and swimmers. Res Sports Med. 2018;26(3):345-53.
  39. Hahn T, Foldspang A. The Q angle and sport. Scand J Med Sci Sports. 2007;7(1):43-8.
  40. Livingston LA, Mandigo JL. Asimetr�a del �ngulo Q bilateral y s�ndrome de dolor anterior de rodilla. Clin Biomech (Bristol, Avon). 1999;14(1):7-13.
  41. Raveendranath R, Nachiket S, Sujatha N, Priya R, Rema D. Bilateral variability of the quadriceps angle (Q angle) in an adult indian population. Iran J Basic Med Sci. 2011;14(5):465.
  42. Livingston LA, Spaulding SJ. Optotrak Medici�n del �ngulo del Cu�driceps Utilizando Posiciones de Pie Estandarizadas. Tren J Athl. 2002;37(3):252-5.
  43. Hidalgo HR. Relaci�n de las rotaciones tibiales y la flexibilidad con lesiones en la musculatura isquiotibial en el futbol. Universidad Gimbernat-Cantabria. Cantabria; 2016: 41.
  44. Gil Fern�ndez M, Zuil Escobar JC. Fiabilidad y correlaci�n en la evaluaci�n de la movilidad de rodilla mediante goni�metro e inclin�metro. Fisioterapia. 2012;34(2):73-8.
  45. Tsai AG, Musahl V, Steckel H, Bell KM, Zantop T, Irrgang JJ, et al. Rotational knee laxity: Reliability of a simple measurement device in vivo. BMC Musculoskelet Disord. 2008;9(1):35.
  46. S�nchez-Alepuz E, Miranda I, Miranda FJ. Evaluaci�n funcional de los pacientes con rotura del ligamento cruzado anterior. Estudio anal�tico transversal. Rev Esp Cir Ortop�dica Traumatol. 2020;64(2):99-107.
  47. Dufour M. Exploraci�n f�sica y valoraci�n articular.EMC-Kinesiterapia-Medicina F�sica. 2008;29(1):1-23.
  48. Tsai AG, Musahl V, Steckel H, Bell KM, Zantop T, Irrgang JJ, et al. Rotational knee laxity: Reliability of a simple measurement device in vivo. BMC Musculoskelet Disord. 2008;9(1):35.
  49. Mouton C, Seil R, Agostinis H, Maas S, Theisen D. Influence of individual characteristics on static rotational knee laxity using the Rotameter. Knee Surg Sports Traumatol Arthrosc. 2012;20(4):645-51.
  50. Cejudo A. El perfil �ptimo de flexibilidad en j�venes jugadores de f�tbol durante su periodo sensible del desarrollo f�sico. Bater�a ROM-SPORT.JUMP. 2020;(2):16-25.
  51. Sainz de Baranda P, Cejudo A, Ayala F, Santonja F. Perfil �ptimo de flexibilidad del miembro inferior en jugadoras de f�tbol sala / Optimal Data of Lower-Limb Muscle Flexibility in Female Futsal Players. Rev Int Med Cienc Act F�sica Deporte. 2015;60(2015):647-62.
  52. B�a N, Rodr�guez AV, Garc�a GC. Perfil funcional y morfol�gico en jugadores de f�tbol amateur de Mendoza, Argentina. Apunts Med Esport. 2013;48(179):89-96.
  53. Rosa YA de L, Pereira LG, Infante YH, Terry JML. Evaluaci�n de la amplitud articular de los miembros inferiores en la t�cnica de zancada en la gimnasia r�tmica. REFCalE Rev Electr�nica Form Calid Educ. 2020;8(1):15-27.
  54. Arribas S. Nataci�n y flexibilidad swimming and flexibility [revista en internet]. Med. Cienc. Act. F�s. Deporte. 2002; 2(6):128-42.
  55. Muyor JM, Vaquero-Crist�bal R, Alacid F, L�pez-Mi�arro PA. Criterion- Related Validity of Sit-and-Reach and Toe-Touch Tests as a Measure of Hamstring Extensibility in Athletes. J Strength Cond Res. 2014;28(2):546-55.
  56. Hewit J, Cronin J, Hume P. Multidirectional Leg Asymmetry Assessment in Sport. Strength Cond J. 2012;34(1):82-6.
  57. Mi�arro P�L, Fiol CF, C�rceles FA, Lucas JLY, Ibarra AG. Validez de los test dedos-planta y dedos-suelo para la valoraci�n de la extensibilidad isquiosural en pirag�istas de categor�a infantil. Apunts Med Esport. 2008;43(157):24-9.
  58. P�rez-Vigo C, Sanchez-Lastra MA, Mart�nez-de-Quel O, Ayan C. Fiabilidad y validez de las pruebas v-sit-and-reach y toe-touch en preescolares. Rev Int Med Cienc Act F�sica Deporte. 2020.

Nuevo comentario

Security code:
CAPTCHA code image
Speak the codeChange the code
 

Comentarios

No comments in this article

Artículos relacionados

Determining variables in foot pain in padel players. Observational analysis

Rev. Esp. Pod. 2025; 36(1): 35-41 / DOI: 10.20986/revesppod.2025.1727/2025

Treatment of plantar fascitis with intratissue percutaneous electrolysis. Systematic review and metaanalisis

Rev. Esp. Pod. 2025; 36(1): 9-16 / DOI: 10.20986/revesppod.2025.1711/2024

Comparative study of three techniques for the ring block of the hallux: Frost´s H and modifications

Rev. Esp. Pod. 2025; 36(1): 3-8 / DOI: 10.20986/revesppod.2025.1709/2024

Adaptation of Mueller and Maluf’s biomechanical paradigm to the physiology of stress in the overload lesion

Rev. Esp. Pod. 2024; 35(2): 120-128 / DOI: 10.20986/revesppod.2024.1715/2024

Ultrasound-guided percutaneous needle fasciotomy. Case series

Rev. Esp. Pod. 2024; 35(2): 105-109 / DOI: 10.20986/revesppod.2024.1710/2024

Injuries in the foot and ankle region in rugby players from the University of Malaga. Observational study

Rev. Esp. Pod. 2024; 35(2): 85-90 / DOI: 10.20986/revesppod.2024.1700/2024

Anatomy and sonopathology of the metatarsophalangeal plantar plate

Rev. Esp. Pod. 2024; 35(1): 57-68 / DOI: 10.20986/revesppod.2024.1693/2024

Eficacy of arthroscopy in hallux rigidus: a sistematic review

Rev. Esp. Pod. 2024; 35(1): 49-56 / DOI: 10.20986/revesppod.2024.1689/2024

Qualitative pilot study on the orthotic management of tibialis posterior tendon dysfunction by podiatrists

Rev. Esp. Pod. 2024; 35(1): 30-35 / DOI: 10.20986/revesppod.2024.1686/2024

Surgical approach to rheumatic foot. Case series

Rev. Esp. Pod. 2024; 35(1): 17-21 / DOI: 10.20986/revesppod.2024.1678/2023

Ultrasound-detected ankle tenosynovitis is associated with foot function disorders: a cross-sectional study

Rev. Esp. Pod. 2024; 35(1): 11-16 / DOI: 10.20986/revesppod.2024.1692/2024

Podiatrically significant injuries in the regular practice of contact sports.

Rev. Esp. Pod. 2023; 34(2): 104-108 / DOI: 10.20986/revesppod.2023.1668/2023

Morphology and function of the foot in patients with sciatica. A cross-sectional study

Rev. Esp. Pod. 2023; 34(2): 82-89 / DOI: 10.20986/revesppod.2023.1672/2023

Limitation of ankle dorsiflexion and hallux in master category swimmers

Rev. Esp. Pod. 2023; 34(2): 74-81 / DOI: 10.20986/revesppod.2023.1671/2023

Affections of the lower limb in subjects that perform kick-boxing: descriptive study

Rev. Esp. Pod. 2023; 34(2): 69-73 / DOI: 10.20986/revesppod.2023.1669/2023

Treatment for plantar fasciitis with biomechanical socks. Preliminary results of a randomized clinical trial

Rev. Esp. Pod. 2023; 34(2): 62-68 / DOI: 10.20986/revesppod.2023.1663/2023

Sonographic mapping of the nerves of the medial side of the ankle and foot

Rev. Esp. Pod. 2023; 34(1): 52-57 / DOI: 10.20986/revesppod.2023.1665/2023

Evolution of use in the treatments of plantar warts

Rev. Esp. Pod. 2023; 34(1): 35-38 / DOI: 10.20986/revesppod.2023.1661/2023

Reflections on external tibial torsion and implications for biomechanics

Rev. Esp. Pod. 2022; 33(2): 128-133 / DOI: 10.20986/revesppod.2022.1652/2022

A new modification of the Winograd technique for the treatment of ingrown toenail

Rev. Esp. Pod. 2022; 33(2): 104-109 / DOI: 10.20986/revesppod.2022.1634/2022

Update of new neuromuscular bandage techniques in podiatry

Rev. Esp. Pod. 2022; 33(1): 59-65 / DOI: 10.20986/revesppod.2022.1630/2022

Comparative study between two techniques of local troncular anesthesia of the first toe

Rev. Esp. Pod. 2022; 33(1): 9-13 / DOI: 10.20986/revesppod.2022.1605/2021

Social media criticism in Podiatry

Rev. Esp. Pod. 2022; 33(1): 2-2 / DOI: 10.20986/revesppod.2022.1631/2022

Relative contribution of authors; increased transparency and implementation in Spanish Podiatry Journal

Rev. Esp. Pod. 2022; 33(1): 1-1 / DOI: 10.20986/revesppod.2022.1642/2022

Longitudinal arch load-sharing system of the foot

Rev Esp Podol. 2017;28(1):37-45

Biomechanical study test in children and adolescents: a systematic review

Rev. Esp. Pod. 2021; 32(2): 132-139 / DOI: 10.20986/revesppod.2021.1611/2021

Relationship between dorsal ankle flexion and medial column flexibility

Rev. Esp. Pod. 2021; 32(1): 7-12 / DOI: 10.20986/revesppod.2021.1572/2020

Meschan angle through clinical photography: pilot study

Rev. Esp. Pod. 2021; 32(1): 2-6 / DOI: 10.20986/revesppod.2021.1565/2020

Perioperative management of the diabetic patient in podiatric surgery

Rev. Esp. Pod. 2020; 31(2): 133-141 / DOI: 10.20986/revesppod.2020.1590/2020

Anxiety study in the presurgical patient in foot surgery

Rev. Esp. Pod. 2020; 31(2): 87-92 / DOI: 10.20986/revesppod.2020.1562/2020

Dynamic instability of the pelvis and its relation to plantar pressures in runners

Rev. Esp. Pod. 2020; 31(2): 65-70 / DOI: 10.20986/revesppod.2020.1558/2020

Multidisciplinary approach to neuroischaemic ulcers; a case report

Rev. Esp. Pod. 2020; 31(1): 55-61 / DOI: 10.20986/revesppod.2020.1573/2020

Study of the effectiveness of foot orthoses in frequent foot pathologies

Rev. Esp. Pod. 2020; 31(1): 16-23 / DOI: 10.20986/revesppod.2020.1557/2020

Global pandemic, COVID-19 and podiatry

Rev. Esp. Pod. 2020; 31(1): 2-3 / DOI: 10.20986/revesppod.2020.1579/2020

Treatment of comminuted calcaneal fracture with platelet-rich plasma: a case report

Rev. Esp. Pod. 2019; 30(2): 109-112 / DOI: 10.20986/revesppod.2019.1549/2019

Clinical test in diagnosis of ankle sprain: a literature review

Rev. Esp. Pod. 2019; 30(2): 87-100 / DOI: 10.20986/revesppod.2019.1535/2019

Provision of orthopaedic footwear to patients in a hospital area: transversal study

Rev. Esp. Pod. 2019; 30(2): 81-86 / DOI: 10.20986/revesppod.2019.1547/2019

Basic concepts for the request and interpretation of blood tests in podiatry

Rev. Esp. Pod. 2019; 30(1): 53-68 / DOI: 10.20986/revesppod.2019.1539/2019

Extraction of gotous tofos. Clinical case.

Rev. Esp. Pod. 2019; 30(1): 24-30 / DOI: 10.20986/revesppod.2019.1515/2018

Frequency of recurring onychocryptosis in diabetic population derived to a podiatric clinic

Rev. Esp. Pod. 2018; 29(2): 75-80 / DOI: 10.20986/revesppod.2018.1523/2018

Instrucciones para citar

Pérez Cano S, Escamilla-Martínez E, Cobos Moreno P, Astasio Picado Á, Gómez-Martín B. Functionality of the lower limb of swimmers in relation to swimming style: descriptive observational study. Rev Esp Pod 2023; 34(1): 19-24 / DOI: 1020986/revesppod20231651/2022


Descargar a un gestores de citas

Descargue la cita de este artículo haciendo clic en uno de los siguientes gestores de citas:

Métrica

Este artículo ha sido visitado 18307 veces.
Este artículo ha sido descargado 5 veces.

Estadísticas de Dimensions


Estadísticas de Plum Analytics

Ficha Técnica

Recibido: 29/11/2022

Aceptado: 12/12/2022

Prepublicado: 21/06/2023

Publicado: 30/06/2023

Tiempo de revisión del artículo: 12 días

Tiempo de prepublicación: 204 días

Tiempo de edición del artículo: 213 días


Compartir

Este artículo aun no tiene valoraciones .
Reader rating:
Rate this article:
2025 Revista Española de Podología
ISSN: 0210-1238   e-ISSN: 2695-463X

      Indexada en: